ATLAS_2014_I1282447

Back to index

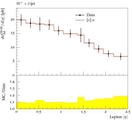
This routine implements the measurement of $W$ boson production in association with a single charm quark with $4.6 \text{fb}^{-1}$ of $pp$ collision data at $\sqrt{s} = 7$ TeV collected with the ATLAS detector at the Large Hadron Collider. Results are quoted for the $W$ boson production decaying into either an electron or muon and the charm quark being identified as any charmed hadron above 5 GeV inside $\Delta R = 0.4$ of a jet with more than 25 GeV. Alternatively the presence of the charm quark is indicated by the presence of a $D$ or a $D^*$ meson with a $p_\text{T}$ above 8 GeV. The cross sections are quoted for the number of opposite sign minus same sign events, where the signs under consideration are the charge of the $W$ boson and the charmed hadrons tagging the event. Given are the integrated and differential cross sections as a function of the pseudorapidity of the lepton from the $W$-boson decay are measured. Additionally, the cross-section ratios $\sigma(W^+ + bar{c}) / \sigma(W^- + c)$ as well as the $p_\text{T}$ dependent cross sections of the $D$/$D^*$ mesons normalized to the $W$ inclusive cross sections are published. The measured data is unfolded to the Born level. One should therefore take care to run on samples without QED radiation off of the electrons. IMPORTANT NOTICE --- For the MC predictions in the paper, the branching fractions to $D$ and $D^*$ mesons have been adapted to be 0.2256 ($D$) and 0.2287 ($D^*$) (LEP/HERA combination). Some suggestion on how to do post-processing -- in case separate samples for $W^+ + c$ and $W^- + c$ and inclusive $W$ are used -- are included in the cc-file. This post-processing is needed to properly display the histograms for the cross section ratio plots $\sigma(W^+ + bar{c}) / \sigma(W^- + c)$ as well as for the cross section ratios of $W + D^{(*)}$ production over inclusive $W$ production ($\sigma(W^{+/-} D^{(*)}) / \sigma(W^{+/-})$) as a function of the $D^{(*)}$ meson transverse momentum.

ATLAS_2014_I1282447_d03-x01-y01:
ATLAS_2014_I1282447_d04-x01-y03:

Generated at Monday, 18. September 2017 08:13AM