ATLAS_2014_I1325553

Back to index

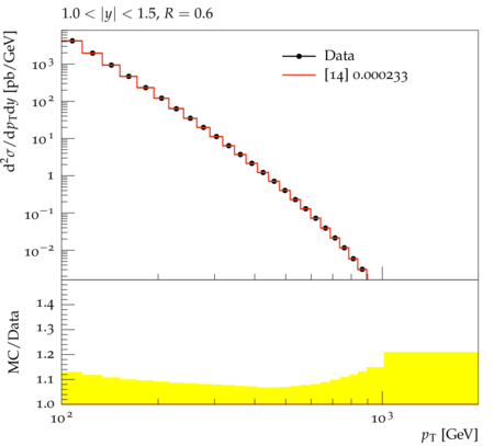
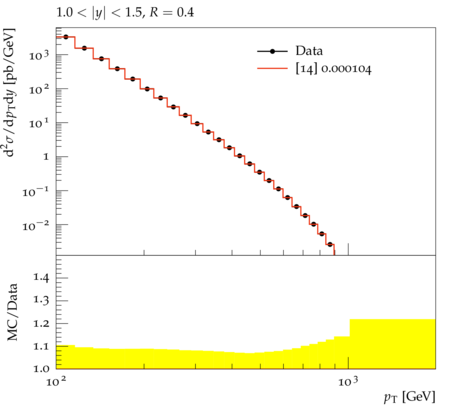
Measurement of the inclusive jet cross-section in proton--proton collisions at a centre-of-mass energy of 7 TeV using a data set corresponding to an integrated luminosity of 4.5/fb collected with the ATLAS detector at the Large Hadron Collider in 2011. Jets are identified using the anti-$k_t$ algorithm with radius parameter values of 0.4 and 0.6. The double-differential cross-sections are presented as a function of the jet transverse momentum and the jet rapidity, covering jet transverse momenta from 100 GeV to 2 TeV.

ATLAS_2014_I1325553_d01-x01-y01:
ATLAS_2014_I1325553_d01-x01-y02:
ATLAS_2014_I1325553_d01-x01-y03:
ATLAS_2014_I1325553_d01-x01-y04:
ATLAS_2014_I1325553_d01-x01-y05:
ATLAS_2014_I1325553_d01-x01-y06:
ATLAS_2014_I1325553_d02-x01-y01:
ATLAS_2014_I1325553_d02-x01-y02:
ATLAS_2014_I1325553_d02-x01-y03:
ATLAS_2014_I1325553_d02-x01-y04:
ATLAS_2014_I1325553_d02-x01-y05:
ATLAS_2014_I1325553_d02-x01-y06:

Generated at Monday, 18. September 2017 08:13AM