CMS_2014_I1303894

Back to index

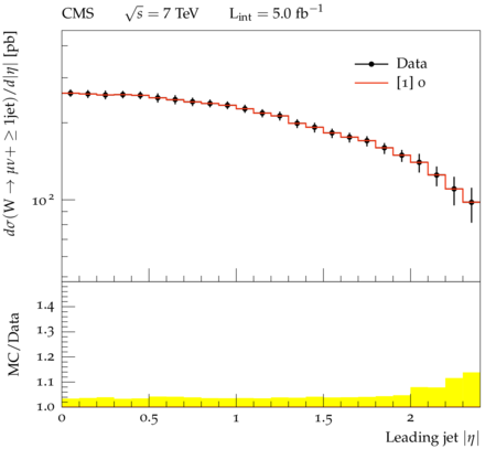
A study of jet production in association with $W$ bosons has been performed, in events with the $W$ decaying to a muon. Jets are required to have $pT > 30$ GeV and $|eta| < 2.4$. Muons are required to have $pT > 25$ and $|eta| < 2.1$. Jets are only considered if they are separated from the muon by $\Delta{R} > 0.5$. Muons are dressed with photons in a cone of $0.1$ around the muon.

CMS_2014_I1303894_d01-x01-y01:
CMS_2014_I1303894_d02-x01-y01:
CMS_2014_I1303894_d03-x01-y01:
CMS_2014_I1303894_d04-x01-y01:
CMS_2014_I1303894_d05-x01-y01:
CMS_2014_I1303894_d06-x01-y01:
CMS_2014_I1303894_d07-x01-y01:
CMS_2014_I1303894_d08-x01-y01:
CMS_2014_I1303894_d09-x01-y01:
CMS_2014_I1303894_d10-x01-y01:
CMS_2014_I1303894_d11-x01-y01:
CMS_2014_I1303894_d12-x01-y01:
CMS_2014_I1303894_d13-x01-y01:
CMS_2014_I1303894_d14-x01-y01:
CMS_2014_I1303894_d15-x01-y01:
CMS_2014_I1303894_d16-x01-y01:
CMS_2014_I1303894_d17-x01-y01:
CMS_2014_I1303894_d18-x01-y01:

Generated at Monday, 18. September 2017 08:13AM