CMS_2015_I1310737

Back to index

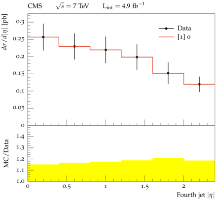
Measurements of differential cross sections are presented for the production of a Z boson and at least one hadronic jet in proton-proton collisions at $\sqrt{s}=7$ TeV, recorded by the CMS detector, using a data sample corresponding to an integrated luminosity of 4.9 $\text{fb}^{-1}$. The jet multiplicity distribution is measured for up to six jets. The differential cross sections are measured as a function of jet transverse momentum and pseudorapidity for the four highest transverse momentum jets. The distribution of the scalar sum of jet transverse momenta is also measured as a function of the jet multiplicity. The measurements are compared with theoretical predictions at leading and next-to-leading order in perturbative QCD. Cuts: First two leading electrons or muons with $p_T > 20$ GeV and $|\eta| < 2.4$ Dilepton invariant mass in the [71,111] GeV range Jets $p_T > 30$ GeV and $|\eta| < 2.4$ $\Delta{R}($lepton,jet$) > 0.5$

CMS_2015_I1310737_d01-x01-y01:
CMS_2015_I1310737_d02-x01-y01:
CMS_2015_I1310737_d03-x01-y01:
CMS_2015_I1310737_d04-x01-y01:
CMS_2015_I1310737_d05-x01-y01:
CMS_2015_I1310737_d06-x01-y01:
CMS_2015_I1310737_d07-x01-y01:
CMS_2015_I1310737_d08-x01-y01:
CMS_2015_I1310737_d09-x01-y01:
CMS_2015_I1310737_d10-x01-y01:
CMS_2015_I1310737_d11-x01-y01:
CMS_2015_I1310737_d12-x01-y01:
CMS_2015_I1310737_d13-x01-y01:
CMS_2015_I1310737_d14-x01-y01:

Generated at Monday, 18. September 2017 08:13AM