ATLAS_2014_I1306294_EL

Back to index

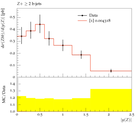
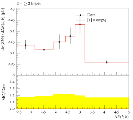
Measurements of differential production cross-sections of a $Z$ boson in association with $b$-jets in $pp$ collisions at $\sqrt{s}=7$ TeV are reported. The data analysed correspond to an integrated luminosity of 4.6 fb$^{-1}$ recorded with the ATLAS detector at the Large Hadron Collider. Particle-level cross-sections are determined for events with a $Z$ boson decaying into an electron or muon pair, and containing $b$-jets. For events with at least one $b$-jet, the cross-section is presented as a function of the $Z$ boson transverse momentum and rapidity, together with the inclusive $b$-jet cross-section as a function of $b$-jet transverse momentum, rapidity and angular separations between the $b$-jet and the $Z$ boson. For events with at least two $b$-jets, the cross-section is determined as a function of the invariant mass and angular separation of the two highest transverse momentum $b$-jets, and as a function of the $Z$ boson transverse momentum and rapidity. Results are compared to leading-order and next-to-leading-order perturbative QCD calculations. This Rivet module implements the event selection for Z decaying into electrons. If you want to use muonic events, please refer to ATLAS\_2014\_I1306294\_MU

ATLAS_2014_I1306294_EL_d03-x01-y01:
ATLAS_2014_I1306294_EL_d05-x01-y01:
ATLAS_2014_I1306294_EL_d07-x01-y01:
ATLAS_2014_I1306294_EL_d09-x01-y01:
ATLAS_2014_I1306294_EL_d11-x01-y01:
ATLAS_2014_I1306294_EL_d13-x01-y01:
ATLAS_2014_I1306294_EL_d15-x01-y01:
ATLAS_2014_I1306294_EL_d17-x01-y01:
ATLAS_2014_I1306294_EL_d21-x01-y01:
ATLAS_2014_I1306294_EL_d23-x01-y01:
ATLAS_2014_I1306294_EL_d25-x01-y01:
ATLAS_2014_I1306294_EL_d27-x01-y01:

Generated at Sunday, 17. September 2017 10:49PM