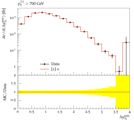
Differential cross sections for the production of at least four jets have been measured in proton-proton collisions at $\sqrt{s}=8$\,TeV at the Large Hadron Collider using the ATLAS detector. The dataset corresponds to an integrated luminosity of 20.3\,fb^{−1}. The cross sections are corrected for detector effects and presented as a function of the jet momenta, invariant masses, minimum and maximum opening angles and other kinematic variables.
⚓⌘ ATLAS_2015_I1394679_d01-x01-y01:
⚓⌘ ATLAS_2015_I1394679_d02-x01-y01:
⚓⌘ ATLAS_2015_I1394679_d03-x01-y01:
⚓⌘ ATLAS_2015_I1394679_d04-x01-y01:
⚓⌘ ATLAS_2015_I1394679_d05-x01-y01:
⚓⌘ ATLAS_2015_I1394679_d06-x01-y01:
⚓⌘ ATLAS_2015_I1394679_d07-x01-y01:
⚓⌘ ATLAS_2015_I1394679_d08-x01-y01:
⚓⌘ ATLAS_2015_I1394679_d09-x01-y01:
⚓⌘ ATLAS_2015_I1394679_d10-x01-y01:
⚓⌘ ATLAS_2015_I1394679_d11-x01-y01:
⚓⌘ ATLAS_2015_I1394679_d12-x01-y01:
⚓⌘ ATLAS_2015_I1394679_d13-x01-y01:
⚓⌘ ATLAS_2015_I1394679_d14-x01-y01:
⚓⌘ ATLAS_2015_I1394679_d15-x01-y01:
⚓⌘ ATLAS_2015_I1394679_d16-x01-y01:
⚓⌘ ATLAS_2015_I1394679_d17-x01-y01:
⚓⌘ ATLAS_2015_I1394679_d18-x01-y01:
⚓⌘ ATLAS_2015_I1394679_d19-x01-y01:
⚓⌘ ATLAS_2015_I1394679_d20-x01-y01:
⚓⌘ ATLAS_2015_I1394679_d21-x01-y01:
⚓⌘ ATLAS_2015_I1394679_d22-x01-y01:
⚓⌘ ATLAS_2015_I1394679_d23-x01-y01:
⚓⌘ ATLAS_2015_I1394679_d24-x01-y01:
⚓⌘ ATLAS_2015_I1394679_d25-x01-y01:
⚓⌘ ATLAS_2015_I1394679_d26-x01-y01:
⚓⌘ ATLAS_2015_I1394679_d27-x01-y01:
⚓⌘ ATLAS_2015_I1394679_d28-x01-y01:
⚓⌘ ATLAS_2015_I1394679_d29-x01-y01:
⚓⌘ ATLAS_2015_I1394679_d30-x01-y01:
⚓⌘ ATLAS_2015_I1394679_d31-x01-y01:
⚓⌘ ATLAS_2015_I1394679_d32-x01-y01:
⚓⌘ ATLAS_2015_I1394679_d33-x01-y01:
⚓⌘ ATLAS_2015_I1394679_d34-x01-y01:
⚓⌘ ATLAS_2015_I1394679_d35-x01-y01:
⚓⌘ ATLAS_2015_I1394679_d36-x01-y01:
⚓⌘ ATLAS_2015_I1394679_d37-x01-y01:
⚓⌘ ATLAS_2015_I1394679_d38-x01-y01:
⚓⌘ ATLAS_2015_I1394679_d39-x01-y01:
⚓⌘ ATLAS_2015_I1394679_d40-x01-y01:
⚓⌘ ATLAS_2015_I1394679_d41-x01-y01:
⚓⌘ ATLAS_2015_I1394679_d42-x01-y01:
⚓⌘ ATLAS_2015_I1394679_d43-x01-y01:
⚓⌘ ATLAS_2015_I1394679_d44-x01-y01:
⚓⌘ ATLAS_2015_I1394679_d45-x01-y01:
⚓⌘ ATLAS_2015_I1394679_d46-x01-y01: