ATLAS_2016_I1457605

Back to index

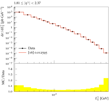
A measurement of the cross section for the inclusive production of isolated prompt photons in proton-proton collisions at a centre-of-mass energy of $\sqrt{s} = 8$ TeV is presented. The measurement covers the pseudorapidity ranges $|\eta^\gamma| < 1.37$ $1.56 < |\eta^\gamma| < 2.37$ in the transverse energy range $25 < E^\gamma_\text{T} < 1500$ GeV. The results are based on an integrated luminosity of 20.2 fb${}^{-1}$, recorded by the ATLAS detector at the LHC. Photon candidates are identified by combining information from the calorimeters and the inner tracker. The background is subtracted using a data-driven technique, based on the observed calorimeter shower-shape variables and the deposition of hadronic energy in a narrow cone around the photon candidate.

ATLAS_2016_I1457605_d01-x01-y01:
ATLAS_2016_I1457605_d02-x01-y01:
ATLAS_2016_I1457605_d03-x01-y01:
ATLAS_2016_I1457605_d04-x01-y01:

Generated at Sunday, 17. September 2017 08:43PM